Math Trigonometry Solver
Math Trigonometry Solver. Your first 5 questions are on us! As with any other subject, it’s all about practice, so make sure to spend even as little as 30 minutes every day solving trigonometry problems if you want to master this subject.

Solving means finding missing sides and angles. Cosec = 1/sec = cot/cosec. Subscribe to see the step by step solution!
Sin = Tan/ Sec = 1/ Cosec If You Put It Simply It Implies That Sin Equals Divided Cosec.
The trigonometric ratios such as sine, cosine and tangent of these angles are easy to memorize. Subscribe to see the step by step solution! Algebra calculus equation equations with parameters exponent exponential factorisation graphs inequality linear equation logarithm radicals simplification slope of a line system of equations trigonometric equation trigonometric problem trigonometry value of a function алгебра
The Word Itself Comes From The Greek Trigōnon (Which Means Triangle) And Metron (Measure).
Solving means finding missing sides and angles. We will also show the table where all the ratios. The trigonometry angles which are commonly used in trigonometry problems are 0°, 30°, 45°, 60° and 90°.
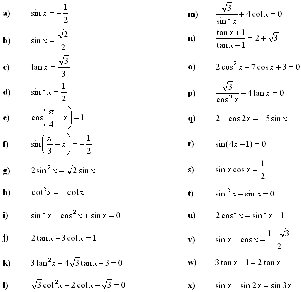
Combine Like Terms Solve For A Variable Factor Expand Evaluate Fractions Linear Equations Quadratic Equations Inequalities Systems Of Equations Matrices Trigonometry Simplify Evaluate Graphs Solve Equations
See how to solve problems and show your work—plus get definitions for mathematical concepts. 1 cos ( x) − cos ( x) 1 + sin ( x) = tan ( x) go! Geometrically, these are identities having specific functions of one or more angles.
Practice Your Math Skills And Learn Step By Step With Our Math Solver.
The reciprocal sine function is cosecant: As with any other subject, it’s all about practice, so make sure to spend even as little as 30 minutes every day solving trigonometry problems if you want to master this subject. March 11, 2019 by math solver leave a comment.
Trigonometry Is A Branch Of Mathematics.
8 sin ( x) = 2 + 4 csc ( x) 8\sin\left (x\right)=2+\frac {4} {\csc\left (x\right)} 8sin(x) = 2+ csc(x)4. Solved example of trigonometric equations. It helps us in solving triangles.