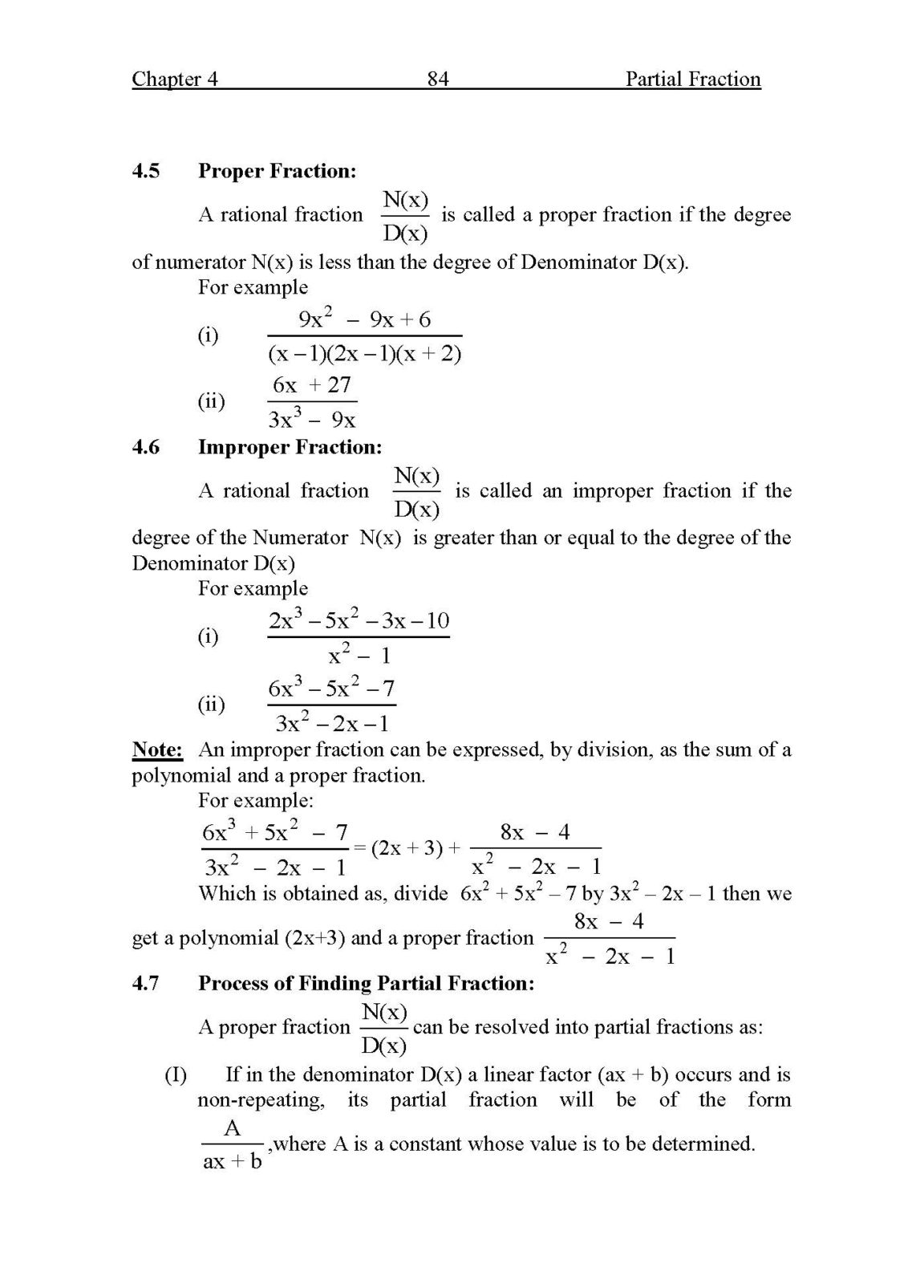
4.1 Algebra 1 Answers
4.1 Algebra 1 Answers. Y 2 1 2 4 1 3. If s is the price of a can of soup and b is the cost of a loaf of bread, then khalil's.

Glencoe algebra 1 answers isbn: This worksheets was uploaded at february 04, 2021 by admin in worksheets. This is glencoe algebra comes into the picture.
2 Core Connections Algebra Lesson 7.
Based on the common core standards, our subject experts prepared this bim math algebra 1 solution key for chapter 4 writing linear functions. 19 24 a 22 4 1 6a 20 5 1 5x 5 8x 2 4x 8x k l2t0 1k2 u kiu utua 7 qs7ocfot bwmadrlel ulxl5c8 h 4 2a aldl0 sr sibgohct 7su qrie xsze6r zvpebdb v c hm9ajd ie f qwzihtdh b xinnnfaivnbi3tse g zaal 3g devbxr3a d w1r o worksheet by kuta software llc. Ace up your preparation using the writing linear functions bim algebra.
Common Core Algebra 1 Unit 4 Test Answer Key | Full.
10 x 21 fx x. Solving word problems by writing equations: This algebra 1 4.1 answer key a comprehensive textbook that can help the student better understand the entire algebra topic.
This Is Glencoe Algebra Comes Into The Picture.
Find two points on the line. Learn about ordered pair numbers relations and an introduction to functions algebra. Navigate to your page and exercise 4.1.1 algebra 1 answers.
In Both, The Parts Students Will Get A Comprehensive Study Of The Algebra 44.1 In Mathematics.
If s is the price of a can of soup and b is the cost of a loaf of bread, then khalil's. Y 2 1 2 4 1 3. Make a table of values that includes the vertex.
4 Graphing Quadratic Functions Worksheet Answers Algebra 1 Is Free Worksheets Available For You.
This worksheets was uploaded at february 04, 2021 by admin in worksheets. Free printables worksheet math models worksheet 4 1 relations and functions answer key we found some images about math models worksheet 4 1 relations and functions answer key. Glencoe algebra 1 answers isbn: